工作频率: Hz, 希望的电抗值: Ohms (eg: approx. 8 Ohms for first order crossover, 11.3 Ohms for second order crossover)
需要的电感量 L = mH, 需要的电容量C = 礷
工作频率: Hz, 电感量: mH
电抗值计算结果:XL = Ohms
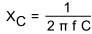
工作频率: Hz, 电容量: 礷
电抗值计算结果:XC = Ohms
感抗与容抗计算器